Orion Albania Limited (Ish Capricorn Albania Limited)
Last change(based on NBC extract ) made on: 2024-03-28 14:32:05
JSON
| Tax Registration Number: | K82020011A |
|---|---|
| Administrators: | |
| Scope: | Përfaqësimi dhe lehtësimi i vazhdimit të biznesit të shoqërisë në Shqipëri |
| Other Trade Names: | Orion Albania Limited |
| Legal Form: | Zyrë përfaqësimi |
| Foundation Year: | 20/08/2008 |
| District: | Tiranë |
| Country: | Shqipëri |
| Capital Origin: | Britani |
| Initial Capital: | 2 314 800,00 |
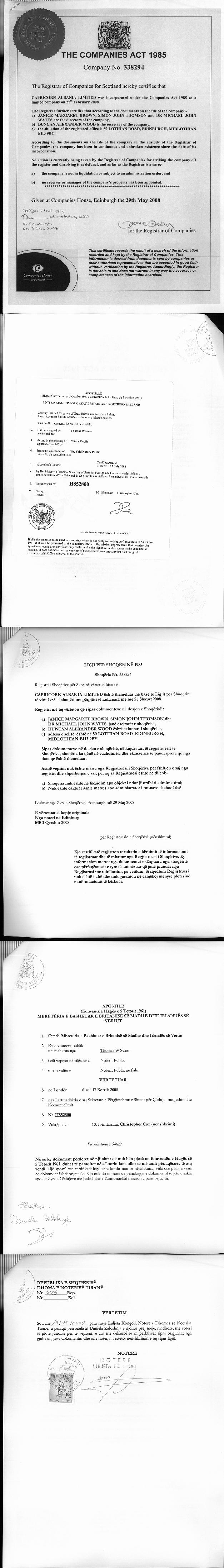
| Parent Company / Owner: | Orion Albania Limited (Ish Capricorn Albania Limited) është themeluar si shoqëri me përgjegjësi të kufizuar më 25.02.2008 dhe që funksionon sipas ligjeve të Mbretërisë së Bashkuar, me numër regjistrimi 338294, me adresë në 50 Lothan Road Edinburgh, Midlothian EH3 9BY, Skoci, me administratorë Janice Margaret Brown, Simon John Thomson dhe Michael John Watts (Sipas vërtetimit së regjistrit të shoqërive për Skocinë, datë 29.05.2008, të dorëzuar në QKB) Subjekti Juridik Orion Albania Limited Ltd nuk ka regjistruar të dhëna në regjistrin e pronarëve përfitues RPP |
| Concessions and PPPs: | Po |
| Type of Ownership: | PPP - Partneritet Publik Privat |
| Status: | Pezulluar |
| License(s): |
-
|
| Legal Cases: | Ne daten 01.09.2022, bazuar në nenin 15/1 të ligjit Nr. 6/2022 "Për disa ndryshime dhe shtesa në Ligjin Nr.112/2020, Për Regjistrin e Pronarëve Përfitues", i ndryshuar, QKB për subjektet raportuese, të cilat kryejnë shkeljet e parashikuara në pikën 4 të këtij neni, do 4 të ndryshojë statusin nga “AKTIV” në statusin “PEZULLUAR” deri në pagesën e gjobës dhe regjistrimin e të dhënave përkatëse per pronarët përfitues. Statusi ishte ("Aktiv") u be ("Pezulluar") |
| Changes | |
| Additions: | Kapitali i shoqërisë është 18000 paund dhe është konvertuar në lekë me kursin e këmbimit të datës 07.04.2023 sipas BSH (1 GDP= 128.60 All) |
| Address: |
Seat: |
| Akte. Tjetërsim Kapitali: |
→ VKM Nr. 507, date 08.08.2007 per miratimin e kontrates me ndarje prodhimi për kërkimin, zhvillimin dhe prodhimin e hidrokarbureve në Shqipëri, blloku detar Joni-5 → VKM Nr. 529, date 13.06.2013 per miratimin e amendamenti Nr. 1 i kontratës me ndarje prodhimi per bllokun detar Joni-6 → Ekstrakt historik i regjistrit tregtar 08.04.2023 → Akti i themelimit te shoqerise se huaj → Çertifikata e regjistrit tregtar te shoqerise se huaj 29.05.2008 → Vendimi per ndryshimin e emrit 28.02.2014 (fq 8) → Kerkesa per doreheqje e administratorit 29.12.2017 → Te dhenat e subjektit Orion Albania Limited ne Regjistrin e Pronareve Perfitues date 08.04.2023 → Ekstrakti Historik i Regjistrit Tregtar date 28.03.2024 |
| Financial Documents: |
→ Pasqyrat financiare 2010 → Pasqyrat financiare 2011 |
Financial Information
|
Profit before Tax (ALL Albanian Currency Lekë) 2011:
-19 971 090,00 Profit before Tax (ALL Albanian Currency Lekë) 2010: -91 163 717,00 Profit before Tax (ALL Albanian Currency Lekë) 2009: -686 301 967,00 |
|