Skip to content

ERA TRAVEL 2013
Informacioni është i përditësuar sipas të dhënave të QKB/Rregjistër Biznesi deri në datën: 2021-10-28 09:11:36
JSON

NIPT: L33122201P
Administrator: Nuri Balla
Objekti i Veprimtarisë: Transport udhetaresh brenda e jashte vendit. Hapje te agjencive turistike e udhetimesh.
Emërtime të tjera Tregtare: ERA TRAVEL 2013
Forma ligjore: Shoqëri me Përgjegjësi të Kufizuar SH.P.K
Viti i Themelimit: 19.07.2013
Rrethi: Elbasan
Shteti ku vepron: Shqipëri
Origjina e Kapitalit: Shqiperi
Kapitali Themeltar(Lekë): 53 345 051,00
Numri i pjesëve: 1
Lloji i pronësisë: Private
Nr. i administratorëve: 1
Femër/Mashkull: Mashkull
Mjete të ushtrimit të aktivitetit: 1.Elbasan, Lagjja 28 Nentori, automjet me targe AA 458 LN
2.Elbasan, Mjet me targe AA 099 HY
3. Elbasan, Autobus me targe AA 268 MP
4. Elbasan, Lagjja 28 2 Nentori, autostrada Elbasan-Metalurgji km 3, minibus me targe AA 836 FU
5. Elbasan, Furgon me targe AA 414 HX
6. Elbasan, Autobuz me targe AA 267 MP
7. Elbasan, Autobus me targe AA 711 LV
8. Elbasan, Mjet me targe AA 955 HG
9. Elbasan, Autobus me targe AA 469 AV
10. Elbasan, Autobuz me targe AA 034 IM
11. Elbasan, Autobuz me targe AA 035 IM
12.Elbasan, Autobus me targe AA 573 ML
13. Elbasan, Mjeti me targe AA 087 SR
Statusi: Aktiv
Leje/Licensa: VII.1 - Transport rrugor ndërkombëtar i udhëtarëve
Ndryshime
Adresa:

Seli/Zyra Qendrore:
Elbasan, Lagjja 28 Nentori, rruga Esat Bordi, zk.8523, pasuria nr.8/32. Zyrat brenda "Pallatit te sportit".

Akte. Tjetërsim Kapitali: Ekstrakti Historik i Regjistrit Tregtar date 28.10.2021
Statuti i Shoqerise
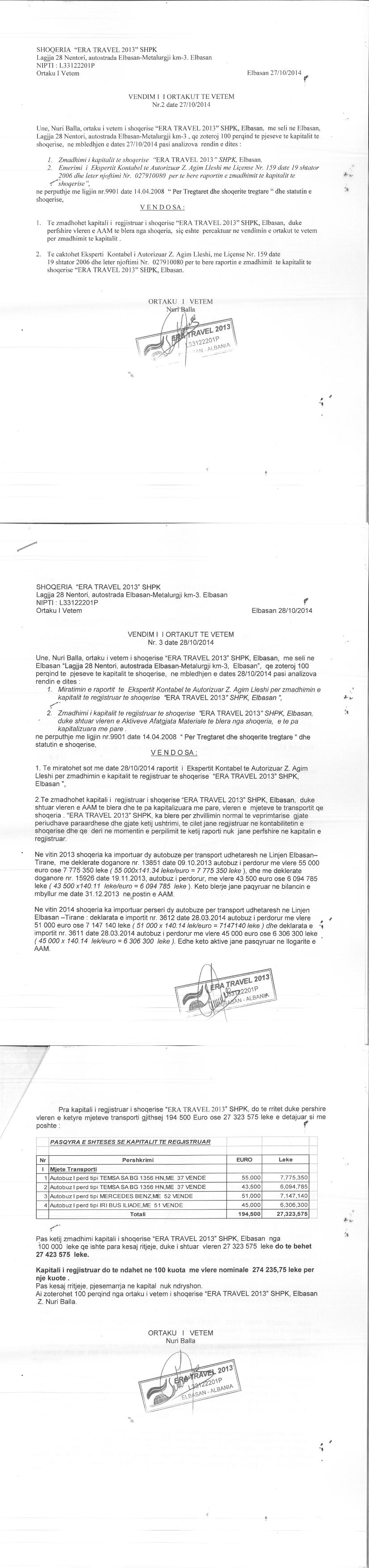
Vendim i ortakut te vetëm per rritjen e kapitalit date 27.10.2014
Vendim i ortakut te vetëm per rritjen e kapitalit date 15.12.2015
Vendim i ortakut te vetëm per rritjen e kapitalit date 01.11.2017
Vendim i ortakut te vetëm per rritjen e kapitalit date 12.11.2018
Vendim i Asamblese se Pergjithshme per zvogelimin e kapitalit date 17.12.2019
Vendim i Asamblese se Pergjithshme per rritjen e kapitalit date 25.05.2020
Dokumenta Financiare: Pasqyrat Financiare viti 2013
Pasqyrat Financiare viti 2014
Pasqyrat Financiare viti 2015
Pasqyrat Financiare viti 2016
Pasqyrat Financiare viti 2017
Pasqyra e Te Ardhurave dhe Shpenzimeve viti 2018
Pasqyra e Te Ardhurave dhe Shpenzimeve viti 2019
Pasqyra e Te Ardhurave dhe Shpenzimeve viti 2020
Informacione Financiare
Transaksione Thesari 2019- Në vijmësi
Transaksione Thesari 2015-2018
Transaksione Thesari 2014
Fitimi para Tatimit(Lekë) 2020: 655 826,00
Fitimi para Tatimit(Lekë) 2019: 6 237 753,00
Fitimi para Tatimit(Lekë) 2018: 9 638 664,00
Fitimi para Tatimit(Lekë) 2017: 9 410 904,00
Fitimi para Tatimit(Lekë) 2016: 10 920 777,00
Fitimi para Tatimit(Lekë) 2015: 2 420 336,00
Fitimi para Tatimit(Lekë) 2014: 1 175 852,00
Xhiro Vjetore(Lekë) 2020:48 156 128,00
Xhiro Vjetore(Lekë) 2019:87 809 148,00
Xhiro Vjetore(Lekë) 2018:108 989 609,00
Xhiro Vjetore(Lekë) 2017:90 383 226,00
Xhiro Vjetore(Lekë) 2016:102 603 975,00
Xhiro Vjetore(Lekë) 2015:28 957 542,00
Xhiro Vjetore(Lekë) 2014: 11 456 333,00

Raporti Fitim para Tatimit kundrejt Xhiro Vjetore(në përqindje) ndër vite:

2014
2015
2016
2017
2018
2019
2020

Punuar Nga : L.Kanani