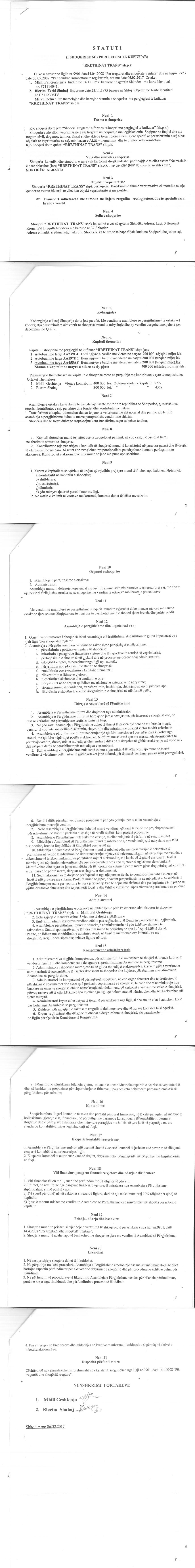
RRETHINAT TRANS
Informacioni është i përditësuar sipas të dhënave të QKB/Rregjistër Biznesi deri në datën: 2023-01-17 11:50:40
JSON
| NIPT: | L76407001Q |
|---|---|
| Administrator: | Mhill Geshtenja |
| Objekti i Veprimtarisë: | Transport udhetaresh me autobuz ne linje te rregullta rrethqytetese dhe te specializuara brenda vendi |
| Emërtime të tjera Tregtare: | RRETHINAT TRANS |
| Forma ligjore: | Shoqëri me Përgjegjësi të Kufizuar SH.P.K |
| Viti i Themelimit: | 06/02/2017 |
| Rrethi: | Shkoder |
| Shteti ku vepron: | Shqiperi |
| Origjina e Kapitalit: | Shqiperi |
| Kapitali Themeltar(Lekë): | 700 000,00 |
| Numri i pjesëve: | 2 |
| Lloji i pronësisë: | Private |
| Nr. i administratorëve: | 1 |
| Femër/Mashkull: | Mashkull |
| Mjete të ushtrimit të aktivitetit: | 1. Shkoder, AA 499 DG, Daimler Chrysler e bardhe 2. Shkoder, AA 268 GU, Autobus Ford ngjyre e verdhe 3. Shkoder, AA 329 LJ, Autobus Ford ngjyre e bardhe 4. Shkoder, AA 412 GE, Autobus Mercedes Benz blu 5. Shkoder, AA 672 AL, Autobus Mercedes Benz blu 6. Shkoder, AB 151 DG, Autobus Mercedes Benz, ngjyre blu 7. Shkoder, AA 685 AX, Autobus Mercedes Benz ngjyre e zeze 8. Shkoder, AA 197 DC, Autobus Mercedes Benz ngjyre e bardhe 9. Shkoder, AB 240 DX, Autobus Mercedes Benz, ngjyre e kuqe e erret 10. Shkoder, AB 711 DO, Autobus Volkswagen, ngjyre e bardhe 11. Shkoder, AA 209 LU, Furgon blu Mercedes Benz Shkoder 12. Shkoder, AA 455 AY, Furgon i bardhe Mercedes Benz 13. Shkoder, AA 188 CO, Furgon i bardhe Mercedes Benz 14. Shkoder, AA 737 EA, Furgon i bardhe Mercedes Benz 15. Shkoder, AA 410 BN, Furgon i bardhe Mercedes Benz |
| Statusi: | Aktiv |
| Leje/Licensa: |
Liçencë për kryerjen e shërbimeve të rregullta rrethqytetëse të transportit rrugor të udhëtarëve brenda vendit. (Linja Shkodër -Grudë e Re - Guci e Re - Shkodër) -
Liçencë për kryerjen e shërbimeve të rregullta rrethqytetëse të transportit rrugor të udhëtarëve brenda vendit. (Linja Shkodër - Bleran - Bardhaj - Shkodër) - |
| Ndryshime | |
| Adresa: |
Seli/Zyra Qendrore: |
| Akte. Tjetërsim Kapitali: |
→ Ekstrakti Historik i Regjistrit Tregtar date 17.01.2023 → Statuti i Shoqerise |
| Dokumenta Financiare: |
→ Pasqyra e te ardhurave dhe shpenzimeve 2021 |
Informacione Financiare
|
Fitimi para Tatimit(Lekë) 2021:
388 195,00 |
|
|
Xhiro Vjetore(Lekë) 2021:7 867 875,00 |
|