COLARB DISTRIBUTION
Informacioni është i përditësuar sipas të dhënave të QKB/Rregjistër Biznesi deri në datën: 2022-11-03 14:16:50
JSON
| NIPT: | L81906016S |
|---|---|
| Administrator: | Naxhije Elezi (Likuiduese) |
| Objekti i Veprimtarisë: | Shoqeria do te ushtroje aktivitetin e saj te fokusuar kryesisht ne lmportimin, distribucionin dhe tregetimin me shumice dhe pakice te pijeve alkoolike dhe joalkoolike. Shoqeria mundet te realizoje cdo lloj operacioni financiar apo tregtar, i cili lidhet ne menyre te drejtperdrejte ose jo me objektin e saj, brenda kufijve te parashikuara nga legjislacioni ne fuqi. Shoqeria do te kryeje cdo veprim me qellim te marrjes se lejeve, autorizimeve, licencave dhe miratimeve te nevojshme per realizimin e veprimtarive te saj, per te cilat kerkohen keto dokumente administrative, ne perputhje me legjislacionin shqiptar ne fuqi. |
| Emërtime të tjera Tregtare: | COLARB DISTRIBUTION |
| Forma ligjore: | Shoqëri me Përgjegjësi të Kufizuar SH.P.K |
| Viti i Themelimit: | 04/07/2018 |
| Rrethi: | Tiranë |
| Shteti ku vepron: | Shqipëri |
| Origjina e Kapitalit: | Shqipëri |
| Kapitali Themeltar(Lekë): | 100,00 |
| Numri i pjesëve: | 2 |
| Lloji i pronësisë: | Private |
| Nr. i administratorëve: | 1 |
| Femër/Mashkull: | Femër |
| Mjete të ushtrimit të aktivitetit: | Tirane, Automjet tipi Volkswagen Transporter T5 me targe TR 5243 N |
| Statusi: | Ç’regjistruar |
| Leje/Licensa: |
-
|
| Çështje Ligjore: | I. Me date 11.11.2019, me vendim te asamblese se ortakeve, u vendos: Kalimi i Shoqerise ne Likuidim. Statusi i Shoqerise kalon nga "Aktiv" ne "Shoqeri ne Likuidim e Siper" II. Me date 02.06.2020, me vendim te asamblese se ortakeve, u vendos: Cregjistrim i Shoqerise. Statusi i Shoqerise kalon nga "Shoqeri ne Likuidim e Siper" ne "Çregjistruar" |
| Ndryshime | |
| Adresa: |
Seli/Zyra Qendrore: |
| Akte. Tjetërsim Kapitali: |
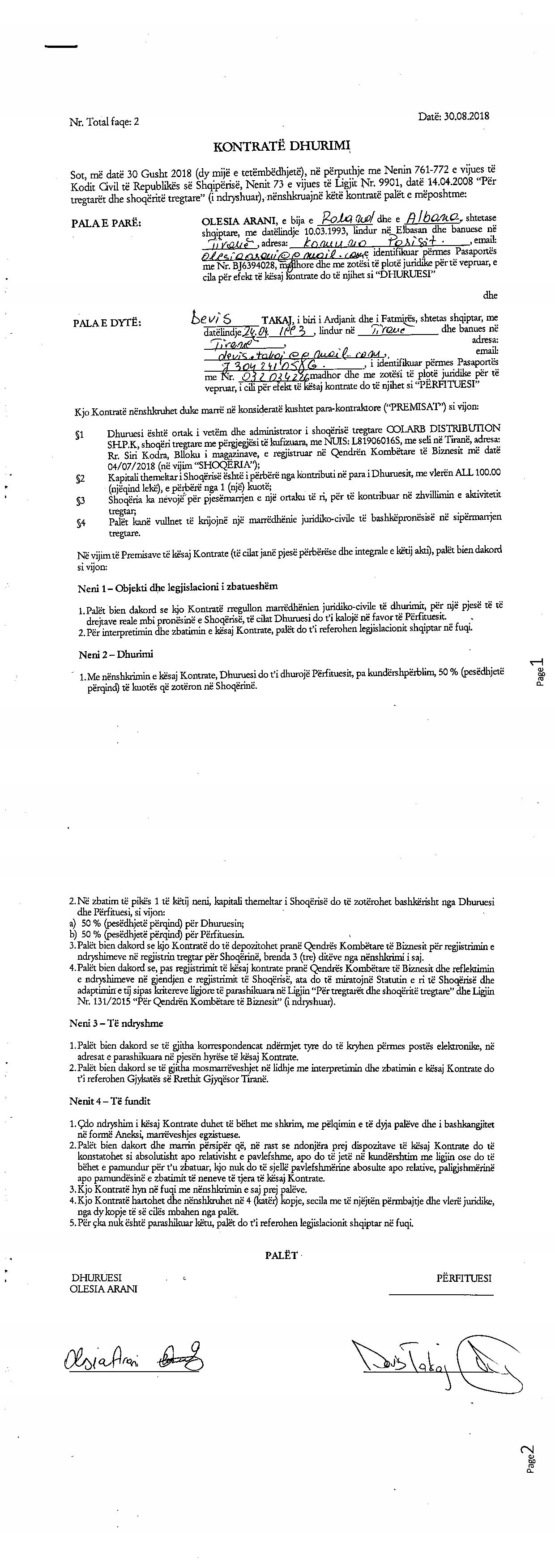
→ Ekstrakti Historik i Regjistrit Tregtar date 03.11.2022 → Akt themelimi dhe Statuti i Shoqerise → Kontrate Dhurimi Kuotash date 30.08.2018 → Vendim i Asamblese se Ortakeve, Likuidim Shoqerie date 11.11.2019 → Vendim i Asamblese se Ortakeve, Cregjistrim Shoqerie date 02.06.2020 → Raport Likuidimi i Shoqerise |
| Dokumenta Financiare: |
→ Pasqyrat Financiare |
Informacione Financiare
|
Fitimi para Tatimit(Lekë) 2020:
161 586,00 Fitimi para Tatimit(Lekë) 2019: -208 235,00 Fitimi para Tatimit(Lekë) 2018: 753 872,00 |
|
|
Xhiro Vjetore(Lekë) 2020:5 111 920,00 Xhiro Vjetore(Lekë) 2019:483 025,00 Xhiro Vjetore(Lekë) 2018:3 719 980,00 |
|