AGRO GEMS
Informacioni është i përditësuar sipas të dhënave të QKB/Rregjistër Biznesi deri në datën: 2022-11-18 08:58:04
JSON
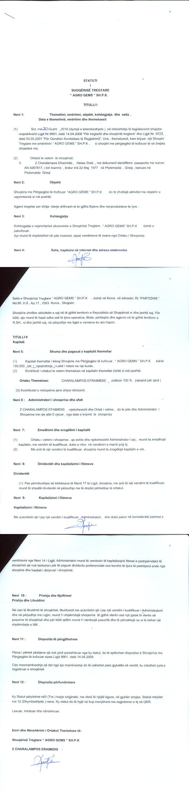
| NIPT: | L84503007V |
|---|---|
| Administrator: | Charalampos Efraimidis |
| Objekti i Veprimtarisë: | Agjent tregtar per shit-blerje drithrashte te gjitha llojeve dhe nenprodukte te tyre. |
| Emërtime të tjera Tregtare: | AGRO GEMS |
| Forma ligjore: | Shoqëri me Përgjegjësi të Kufizuar SH.P.K |
| Viti i Themelimit: | 20/08/2018 |
| Rrethi: | Korce |
| Shteti ku vepron: | Shqipëri |
| Origjina e Kapitalit: | Greqi |
| Kapitali Themeltar(Lekë): | 100 000,00 |
| Numri i pjesëve: | 1 |
| Lloji i pronësisë: | E Huaj |
| Nr. i administratorëve: | 1 |
| Femër/Mashkull: | Mashkull |
| Statusi: | Aktiv |
| Leje/Licensa: |
-
|
| Ndryshime | |
| Adresa: |
Seli/Zyra Qendrore: |
| Akte. Tjetërsim Kapitali: |
→ Ekstrakti Historik i Regjistrit Tregtar date 18.11.2022 → Statuti i Shoqerise → Ekstrakti Historik i Regjistrit te Pronare Perfitues date 18.11.2022 |
| Dokumenta Financiare: |