Skip to content

ITALICA
Informacioni është i përditësuar sipas të dhënave të QKB/Rregjistër Biznesi deri në datën: 2019-12-25 13:52:29
JSON

NIPT: L91411503F
Administrator: Livia Gallo
Objekti i Veprimtarisë: Shoqëria do të kryejë aktivitet me objekt: Qepje konfeksionesh me material porositësi. Hapje dhe funksionim të linjave të qepjes dhe përpunimit të konfeksioneve. Prodhim e tregtim me pakicë ose shumicë të artikujve tekstile të prodhuara në linjat e saj ose të marrë nga të tretë, për llogari të saj ose të të tretëve. Import-eksport të lëndëve të para si: Stofra, lëkure, inkelite e aksesorë të tjerë në funksion të prodhimit të konfeksioneve të makinave. Import të makinerive për prerje, qepje, hekurosje e ambalazhim të konfeksioneve. Konsulenca për dizenjime veshjesh dhe shërbime të tjera modelimi veshjesh. Transport kombëtar dhe ndërkombëtar, nga toka dhe deti, edhe për të tretë. Tregtim të artikujve industriale, ushqimore si dhe tregtimin e tyre me shumicë e pakicë. Agjensi turistike, Imobiliare, shitje biletash. Shërbime tregtare, komisionere.
Emërtime të tjera Tregtare: ITALICA
Forma ligjore: Shoqëri me përgjegjësi të kufizuar SH.P.K
Viti i Themelimit: 06.02.2019
Rrethi: Durrës
Shteti ku vepron: Shqipëri
Origjina e Kapitalit: Itali
Kapitali Themeltar(Lekë): 100 000,00
Numri i pjesëve: 2
Lloji i pronësisë: E Huaj
Nr. i administratorëve: 1
Femër/Mashkull: Femër
Statusi: Aktiv
Leje/Licensa: -
Ndryshime
Adresa:

Seli/Zyra Qendrore:
Durrës, Lagjja nr.14, Shkozet, objekt me nr.pasurie 2/335, zona kadastrale 8516, vol 19, faqe 219

Akte. Tjetërsim Kapitali: Ekstrakt historik i regjistrit tregtar 03.12.2019
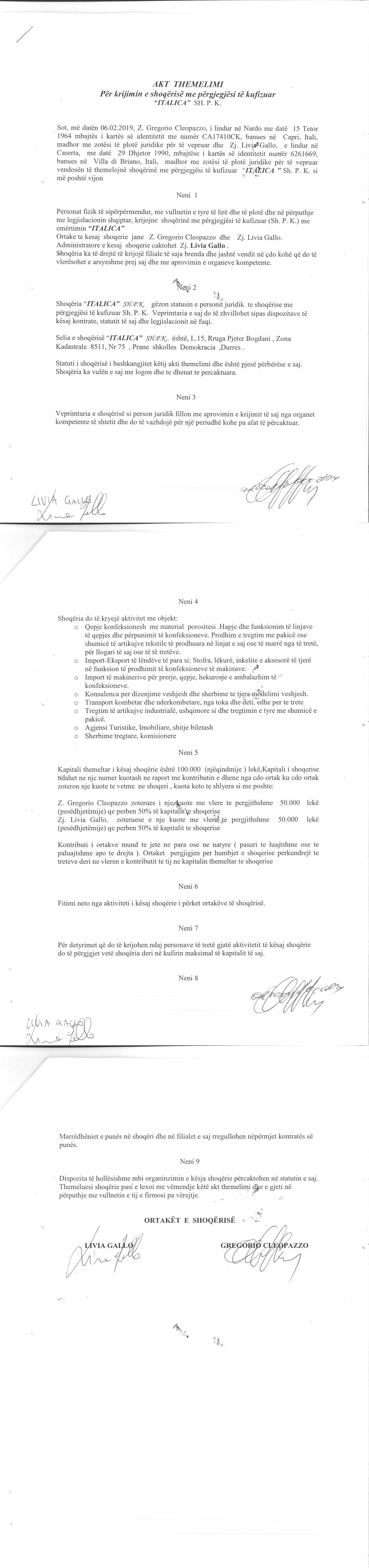
Akti i themelimit
Dokumenta Financiare:
Informacione Financiare
Punuar Nga : A.Lala