Skip to content

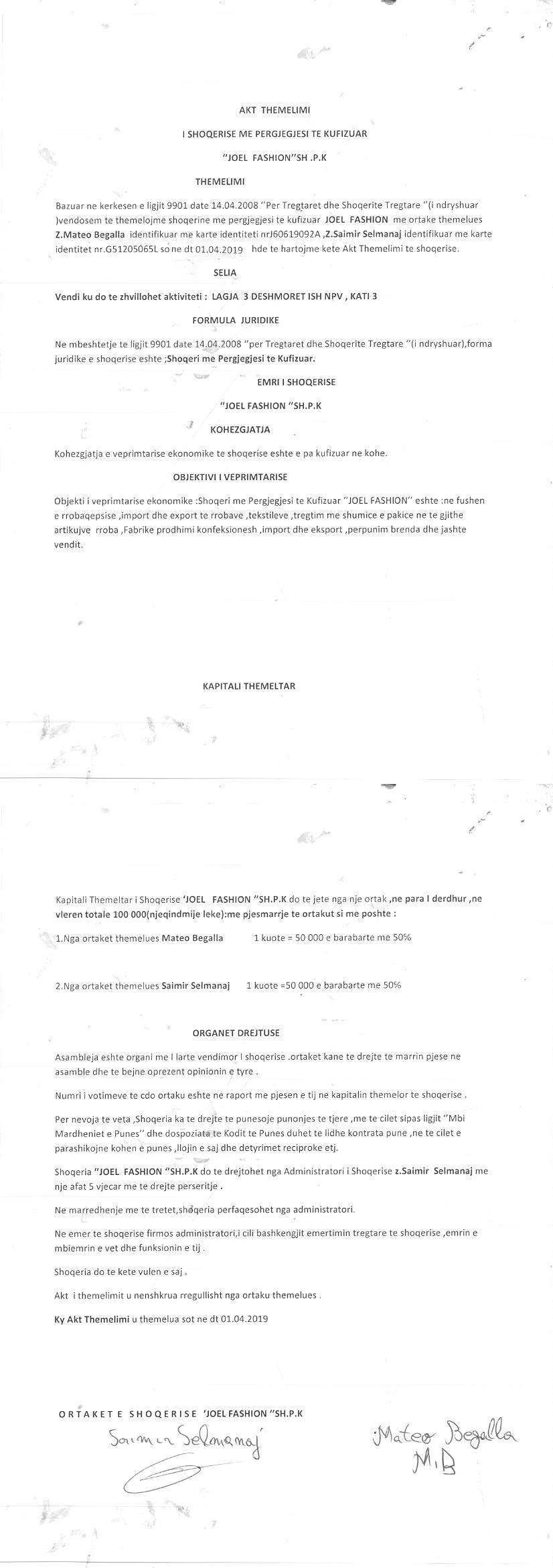
JOEL FASHION
Informacioni është i përditësuar sipas të dhënave të QKB/Rregjistër Biznesi deri në datën: 2020-02-15 14:45:00
JSON

NIPT: L96611204L
Administrator: Saimir Selmanaj
Objekti i Veprimtarisë: Rrobaqepësi, import dhe eksport të rrobave, tekstileve, tregëtim me shumicë dhe pakicë të të gjithë artikujve rroba. Fabrikë prodhimi konfeksionesh, import dhe eksport, përpunim brenda dhe jashtë vendit.
Emërtime të tjera Tregtare: JOEL FASHION
Forma ligjore: Shoqëri me përgjegjësi të kufizuar SH.P.K
Viti i Themelimit: 01.04.2019
Rrethi: Vlorë
Shteti ku vepron: Shqipëri
Origjina e Kapitalit: Shqiperi
Kapitali Themeltar(Lekë): 100 000,00
Numri i pjesëve: 2
Lloji i pronësisë: Private
Nr. i administratorëve: 1
Femër/Mashkull: Mashkull
Statusi: Aktiv
Leje/Licensa: -
Ndryshime
Adresa:

Seli/Zyra Qendrore:
Vlorë, Lagjja 3 Dëshmoret, ish Npv, Kati 3

Adresa:
Lezhë, Laç, Autostrada Laç-Lezhë, Objekt 3- katësh Nr.3

Akte. Tjetërsim Kapitali: Ekstrakt historik i regjistrit tregtar 27.01.2020
Akti i themelimit
Dokumenta Financiare:
Informacione Financiare
Punuar Nga : A.Lala