Skip to content
Ndërtimi, operimi dhe mirëmbajtja e hidrocentralit Lumi Zalli i Okshtunit

DITEKO
Informacioni është i përditësuar sipas të dhënave të QKB/Rregjistër Biznesi deri në datën: 2024-05-17 07:09:24

NIPT: K92108022E
Administrator: Shkëlqim Golli
Objekti i Veprimtarisë: Zbatimi i kontratës Konçesionare me Autoritetin Kontraktues (Ministrinë e Ekonomisë, Tregtisë dhe Energjetikës) Nr. 1924 Rep, Nr. 230 Kol, date 03. 06. 2009 e miratuar me VKM Nr. 701 , datë 11. 06. 2009 që ka hyrë në fuqi pas botimit në Fletoren Zyrtare nr. 114, datë 24. 07. 2009 dhe konkretisht financimi, projektimi, ndërtimi, testimi, kolaudimi, vënia në punë, pronësia, administrimi, mirëmbajtja e kaskades së hidrocentraleve në lumin Zalli i Okshtunit dhe transferimi i tyre në përfundim të kontratës nga Konçesionari tek Autoriteti Kontraktues konform kushteve dhe afateve të kontratës së sipërpërmendur. Prodhim të energjisë elektrike duke shfrytëzuar burimet e energjisë, të cilat gjenden në natyrë dhe janë të rinovueshme, si ajo hidrike, diellore, e erës etj. Studim dhe projektim të hidrocentraleve, centraleve apo impianteve të cilat gjenden në natyrë dhe janë të rinovueshme. Ndërtim, rehabilitim, modernizim të hidrocentraleve, të centraleve dhe të impianteve të cilat bëjnë të mundur shfrytëzimin e energjive që gjenden në natyrë dhe janë të rinovueshme. Operim, shitje të energjisë elektrike klientëve dhe blerje të energjisë elektrike nga operatorë të ndryshëm privatë apo shtetëror, brenda dhe jashtë vendit. Transmetim të energjisë elektrike në sistemin e tensionit të larte, funksion i të cilit përfshin dhe transmetimin ose interkonjeksionit ndërkombëtar. Përdorim të sistemeve të linjave, strukturave mbështetëse dhe pajisjeve transformuese e kontrolluese për transmetimin e energjisë elektrike. Operimi në sistemin e transmetimit për të kryer aktivitetin e transmetimit të energjisë dhe të dispeçerimit të energjisë elektrike, sipas kërkesave të konsumit në nivel kombëtar. Shpërndarjen, transportin e energjisë elektrike në sistemet shpërndarëse të tensionit të mesëm dhe të ulët, duke pasur parasysh shpërndarjen deri tek konsumatori i fundit.
-------------
Kategoria: Sektori i Energjisë
-------------
Emërtime të tjera Tregtare: DITEKO
Forma ligjore: SH.P.K Koncesionare/PPP
Viti i Themelimit: 07/09/2009
Rrethi: Tiranë
Shteti ku vepron: Shqipëri
Origjina e Kapitalit: Shqipëri
Kapitali Themeltar(Lekë): 551 430 000,00
Numri i pjesëve: 4
Shoqëri Mëmë / Zotërues për këtë Subjekt: I. ME-AJ energy, një shoqëri me përgjegjësi të kufizuar, e themeluar më datë 07.05.2008 sipas ligjeve të Republikës së Shqipërisë, me numër identifikimi në regjistrin tregtar NIPT K81716010N, me adresë në Tiranë, Rruga Donika Kastrioti, Nr. 4, pallati 14, shkalla 1, apartamenti nr 21, me administrator Përparim Golli. Ortaket e shoqerise jane: Shkëlqim Golli (50%) dhe Përparim Golli (50%) (Sipas të dhënave të QKB deri më datë 27.04.2022)

II. GJOKA KONSTRUKSION, një shoqëri aksionare, e themeluar më datë 01.04.1994 sipas ligjeve të Republikës së Shqipërisë, me numër identifkimi në regjistrin tregtar NIPT J91815014U, me adresë në Tiranë, Njësia 5, Rruga: Dora D'Istria, Hyrja nr. 6, pasuria me numër Nr. 7/637+1-N2, Nr. 7/637+2- N1, Z.K 8270, me administrator dhe ortak te vetem Rrok Gjoka (Sipas të dhënave të QKB deri më datë 27.04.2022)

III. ME-AJ energy, një shoqëri me përgjegjësi të kufizuar, e themeluar më datë 07.05.2008 sipas ligjeve të Republikës së Shqipërisë, me numër identifikimi në regjistrin tregtar NIPT K81716010N, me adresë në Tiranë, Rruga Donika Kastrioti, Nr. 4, pallati 14, shkalla 1, apartamenti nr 21, me administrator Përparim Golli. Ortaket e shoqerise jane: Shkëlqim Golli (50%) dhe Përparim Golli (50%) (Sipas të dhënave të QKB deri më datë 27.04.2022)

IV. 2 T, një shoqëri me përgjegjësi të kufizuar, e themeluar më datë 29.03.2000 sipas ligjeve të Republikës së Shqipërisë, me numër identifkimi në regjistrin tregtar NIPT K01731001M, me adresë në Tiranë, Rruga Asim Vokshi, Nd. 14, H. 4, Ap. 5, me administratorë Artan Sako. Ortaket e shoqerise jane: Artan Sako (50%) dhe Dritan Troksi (50%) (Sipas të dhënave të QKB deri më datë 27.04.2022)

Sipas Ekstraktit Historik te Regjistrit te Pronarit Perfitues, date 28.12.2023, terhequr nga QKB ne daten 17.05.2024 , Pronare perfitues te shoqërisë DITEKO janë :

I. Rrok Gjoka, shtetas shqiptar, lindur me 1951, pronar përfitues per 50% te kapitalit te shoqërisë, pasi zotëron 100% te kapitalit te GJOKA KONSTRUKSION, e cila eshte shoqëri meme per DITEKO me 50% te kuotave.Data e përcaktimit si pronar përfitues eshte 11.10.2013

II. Përparim Golli, shtetas shqiptar, lindur me 1970, pronar përfitues per 14% te kapitalit te shoqërisë, pasi zotëron 50% te kapitalit te ME-AJ energy , e cila eshte shoqëri meme per DITEKO me 28% te kuotave.Data e përcaktimit si pronar përfitues eshte 07.09.2009

III.Shkëlqim Golli, shtetas shqiptar, lindur me 1972, pronar përfitues per 14% te kapitalit te shoqërisë, pasi zotëron 50% te kapitalit te ME-AJ energy , e cila eshte shoqëri meme per DITEKO me 28% te kuotave.Data e përcaktimit si pronar përfitues eshte 07.09.2009

Konçesione dhe PPP: Po
Lloji i pronësisë: PPP - Partneritet Publik Privat
Nr. i administratorëve: 1
Femër/Mashkull: Mashkull
Statusi: Aktiv
Leje/Licensa: XII.5 - Leje mjedisore
Çështje Ligjore: I. Më datë 04.05.2015, asambleja e përgjithshme e shoqërisë “DITEKO” Shpk ka miratuar marrjen e një kredie në BKT nga shoqëria “DITEKO” shpk në shumën prej 2.100.000.000 (dy miliard e njëqind milion) lekë, e cila së bashku me kapitalizimin e interesit prej 345.000.000 (treqind e dyzet e pesë milion) lekë pritet të arrijë në vlerën 2.450.000.000 (dy miliard e katërqind e pesëdhjetë milion) lekë.

II. Më datë 07.10.2015, u nënshkrua marrëveshja e pengut Nr. 5695 Rep, Nr. 1094 Kol, ndërmjet Bankës Kombëtare Tregtare sh.a dhe shoqërisë “DITEKO” shpk, me objekt vendosjen e pengut në favor të kolateralmarrësit të gjitha kuotat që përfaqësojnë 100% të kalitalit të shoqërisë ”DIETKO” shpk si dhe gjithë të drejtat dhe pretendimet lidhur me to, me qëllim sigurimin e të gjithë detyrimeve të shoqërisë DIETKO, që rrjedhin nga kontrata e kredisë bankare.

III. Më datë 03.03.2017, u nënshkrua marrëveshja siguruese Nr. 1350 Rep dhe 316 Kol, midis kredidhënësit/barrëmarrësit: Banka Kombëtare Tregtare sh.a-Dega Ibrahim Rugova dhe Kredimarrësit: Shoqëria “DITEKO” shpk, Barrëdhënësit: Shoqëria “Gjoka Konstruksion” sh.a, Shoqëria “ME-TAJ energy” sh.p.k, Shoqëria “PERXHOLA”sh.p.k., Shoqëria “2T” sh.p.k ku eshte vendosur që barrëdhënësit “Gjoka Konstruksion”sh.a, “ME-TAJ energy” sh.p.k, “PERXHOLA” sh.p.k. dhe “2T”sh.p.k kanë vendosur barrë në favor të kolateralmarrësit “DITEKO” shpk me qëllim sigurimin e të githa detyrimeve që rrjedhin nga kontrata e kredisë bankare Nr. 3537 Rep dhe Nr. 909 kol, datë 11.07.2014, Kontrata e Kredisë Nr. 5697 Rep dhe 1096 Kol, datë 07.10.2015 dhe Kontrata e Kredisë Nr. 1347 Rep dhe 313 Kol datë 03.03.2017, të lidhura me Bankën Kombëtare Tregtare sh.a-Dega Ibrahim Rugova.
Ndryshime
Data e Nënshkrimit: Kontrata konçesionare - 03.06.2009, Disa shtesa dhe ndryshime në Kontratën e Konçesionit - 28.06.2012
Kohëzgjatja(vjet): 35
Lloji i Kontratës: Kontratë për punë publike
Fusha e Veprimtarisë: Energji ose Gaz
Vlera e Investimit(Lekë): 4.443.351.400 lekë
Vlera e Riinvestimit: Duke filluar nga viti i 25-të nga hyrja në fuqi e kësaj kontrate, konçesionari do të riinvestojë 60% të vlerës së investimit për makineri dhe pajisje. Kjo vlerë do të aktualizohet sipas indeksit të inflacionit.
Kosto Konçesionare: Konçesionari do t'i paguajë Autoritetit Kontraktues 2% të prodhimit vjetor të energjisë elektrike apo të çdo lloj përfitimi që mund të ketë.
Shënime: Më datë 28.06.2012, lidhet Kontrata Shtesë e konçesionit, si pjesë përbërëse e Kontratës së Konçesionit të formës BOT, të datës 03.06.2009. Zëvëndësohet Pika 2, Neni 10 "Programi i punimeve" për shtyrjen e afatit të vënies në punë të hidrocentraleve.

Kaskada e hidrocentraleve në lumin Zalli i Okshtunit në Bulqizë do të ndërtohet me këto karakteristika: Totali i fuqisë së instaluar 30.650 kW dhe prodhimi vjetor mesatar i energjisë elektrike 153.786.127 kWh.
Autoriteti Kontraktues: Ministria e Ekonomisë, Tregtisë dhe Energjetikës
Adresa:

Seli/Zyra Qendrore:
Tiranë, Njësia Bashkiake Nr. 5, Rruga Donika Kastrioti Nr. 4, Pallati Nr. 14, Shkalla Nr. 1, Apartamenti Nr. 21.

Adresa:
Dibër, Zerqan, Komuna Zerqan, Qarku Dibër

Akte/Marrëveshje Koncesionare: Kontrate koncesioni (03.06.2009)
Disa shtesa dhe ndryshime ne Kontraten e Koncesionit(28.06.2012)
Ektrakt historik i regjistrit tregtar 27.04.2022
Marreveshja e pengut (07.10.2015) dhe vendimi per miratimin e huase (04.09.2015)
Vendimi per zmadhimin e kapitalit 25.06.2018
Vendimi I asamblese per zmadhimin e kapitalit 30.06.2017
Vendimi I asamblese per transferimin e kuotave 01.11.2010
Vendimi I asamblese per rritjen e kapitalit 15.07.2016
Preventiv permbledhes i punimeve
EKSTRAKT HISTORIK I REGJISTRIT TË PRONARIT PËRFITUES date 27.04.2022
Ekstrakti Historik i Regjistrit Tregtar date 23.08.2023
Vendim i Asamblese se Pergjithshme per rritjen e kapitalit date 01.08.2023
Ekstrakti Historik i Regjistrit Tregtar date 17.05.2024
Kontrate e Shitjes se Kuotave date 14.12.2023
Ekstrakti Historik i Regjistrit te Pronarit Perfitues date 17.05.2024
Dokumenta Financiare: Akti i Themelimit
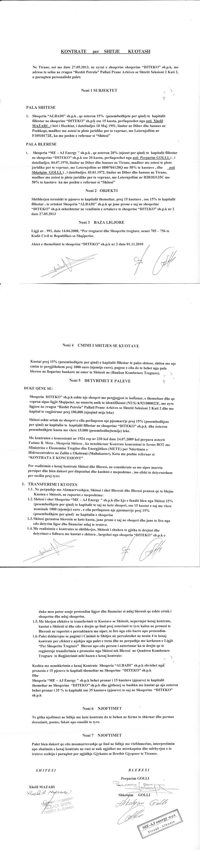
Kontrate shitje kuotash (30.09.2009)
Kontrate shitje kuotash (27.05.2013)
Kontrate shitje kuotash (11.10.2013)
Bilanci 2013
Bilanci 2012
Bilanci 2011
Bilanci 2014
Bilanci 2015
Bilanci 2010
Bilanci 2016
Pasqyrat financiare 2017
Pasqyra e te ardhurave dhe shpenzimeve 2018
Pasqyra e te ardhurave dhe shpenzimeve 2019
Shenimet shpjeguese te PF 2019
Pasqyra e te ardhurave dhe shpenzimeve 2020
Shenimet shpjeguese te PF 2020
Pasqyra e Te ardhurave dhe Shpenzimeve 2021
Pasqyra e Te ardhurave dhe Shpenzimeve 2022
Njoftime Prokurime Publike:
Informacione Financiare
Transaksione Thesari 2015-2018
Transaksione Thesari 2014
Fitimi para Tatimit(Lekë) 2022: 204 537 950,00
Fitimi para Tatimit(Lekë) 2021: 278 582 684,00
Fitimi para Tatimit(Lekë) 2020: 27 258 830,00
Fitimi para Tatimit(Lekë) 2019: 233 508 441,00
Fitimi para Tatimit(Lekë) 2018: 462 694 465,00
Fitimi para Tatimit(Lekë) 2017: 221 159 422,00
Fitimi para Tatimit(Lekë) 2016: 211 836 211,00
Fitimi para Tatimit(Lekë) 2015: 11 596 463,00
Xhiro Vjetore(Lekë) 2022:863 089 172,00
Xhiro Vjetore(Lekë) 2021:936 776 227,00
Xhiro Vjetore(Lekë) 2020:737 470 905,00
Xhiro Vjetore(Lekë) 2019:905 331 366,00
Xhiro Vjetore(Lekë) 2018:1 499 095 173,00
Xhiro Vjetore(Lekë) 2017:409 029 750,00
Xhiro Vjetore(Lekë) 2016:354 267 552,00
Xhiro Vjetore(Lekë) 2015:54 744 673,00

Raporti Fitim para Tatimit kundrejt Xhiro Vjetore(në përqindje) ndër vite:

2015
2016
2017
2018
2019
2020
2021
2022

Koncesionare të tjera


Punuar Nga : A.Lala/L.Kanani