Skip to content
Ndërtimi, operimi dhe mirëmbajtja e hidrocentralit Klos

MALIDO - ENERGJI
Informacioni është i përditësuar sipas të dhënave të QKB/Rregjistër Biznesi deri në datën: 2024-04-25 08:34:50

NIPT: K98824001D
Administrator: Arben Goga
Objekti i Veprimtarisë: Ndërtimi, operimi dhe transferimi i Hidrocentralit "KLOS", Komuna Fan, Rrethi Mirditë tek Autoriteti Kontraktues/Ministria e Ekonomisë, Tregtisë dhe Energjetikës, ku përfshihet financimi, ndërtimi, vënia në punë, prodhimi, furnizimi, transmetimi, shpërndarja, eksportimi dhe shitja e energjisë elektrike, dhe çdo veprimtari tjetër që do të jetë në funksion dhe në zbatim të kontratës së konçesionit Nr. 273 Rep, Nr. 36 Kol, dt. 28. janar 2009 redaktuar Notere Fatime Meta Tirane dhe çdo aneks tjetër të saj.
-------------
Kategoria: Sektori i Energjisë
-------------
Emërtime të tjera Tregtare: MALIDO - ENERGJI
Forma ligjore: SH.P.K Koncesionare/PPP
Viti i Themelimit: 18/02/2009
Rrethi: Durres
Shteti ku vepron: Shqipëri
Origjina e Kapitalit: Shqiperi
Kapitali Themeltar(Lekë): 16 908 000,00
Numri i pjesëve: 16 908
Shoqëri Mëmë / Zotërues për këtë Subjekt: I.KOJA është një shoqëri me përgjegjësi të kufizuar, e themeluar më datë 18.11.1996 sipas ligjeve të Republikës së Shqipërisë, me numër identifikimi në regjistrin tregtar NIPT K31505125A, me adresë në Tiranë, Pezë, Helmes, Rruga Pezë Helmes, Nd. 144, Pezë Helmes, Pezë, 1038, me administrator Ledjan Hajdari dhe ortak te vetem Fuat Hajdari. Sipas të dhënave të QKB deri më datë 09.05.2022

II.MALIDO është një shoqëri me përgjegjësi të kufizuar, e themeluar më datë 12.05.1995 sipas ligjeve të Republikës së Shqipërisë, me numër identifkimi në regjistrin tregtar NIPT K38707048Q, me adresë në Durres, Lagjja 13, Plazh, Rruga Dhimiter Kraja, Kompleksi Toçak, Kati 6-te me administrator Besnik Leka dhe ortak NEW TECHNOLOGY HYDROPOWER. Sipas të dhënave të QKB deri më datë 09.05.2022

Ekstrakti Historik i Regjistrit të Pronarit Përfitues të Shoqërisë “MALIDO - ENERGJI” është i papërditësuar.

Referuar Ligjit Nr.112 datë 28.07.2020, “Për Regjistrin e Pronarëve Përfitues”, i ndryshuar , në nenin 5, pika ç, parashikohet se “në rastin e regjistrimit të ndryshimeve të të dhënave të pronarëve përfitues të subjekteve raportuese, regjistrimi bëhet brenda 90 (nëntëdhjetë) ditëve kalendarike nga data e ndodhjes së ndryshimit faktik.”

Në bazë të dispozitës ligjore të sipërcituar, subjekti në fjalë është në shkelje në lidhje me kryerjen e ndryshimeve të nevojshme në Regjistrin e Pronarëve Përfitues.

Pronare përfitues për “MALIDO - ENERGJI”, sipas të dhënave të QKB, rezultojne:
I. Fuat Hajdari, shtetas shqiptar, lindur me 1959, pronar përfitues per 53% te kapitalit te shoqërisë, pasi zotëron 100% te kapitalit te shoqërisë KOJA, e cila eshte shoqëri meme per MALIDO – ENERGJI me 53% te kuotave te kapitalit..Data e percaktimit si pronar perfitues eshte 15.01.2014.

II. Besnik Leka, shtetas shqiptar, lindur me 1977, pronar përfitues per 47% te kapitalit te shoqërisë, pasi zotëron 100% te kapitalit te shoqërisë MALIDO , e cila eshte shoqëri meme per MALIDO – ENERGJI me 47% te kuotave te kapitalit .

Konçesione dhe PPP: Po
Lloji i pronësisë: PPP - Partneritet Publik Privat
Nr. i administratorëve: 1
Femër/Mashkull: Mashkull
Statusi: Aktiv
Leje/Licensa: M - License ne aktivitetin e prodhimit te energjise elektrike
Çështje Ligjore: I. Më datë 04.11.2014, me anë të urdhërit Nr. 10703 Prot, Nr. Dosje 450, "Për Vënien e Sekuestros mbi kuotat e debitorit”, lëshuar nga Shoqëria Përmbarimore "E.P.S.A", drejtuar QKR, u urdhërua vendosja e sekuestros mbi kuotat që zotëron në çdo subjekt tregtar shoqëria "Malido-Energji" si dhe mbi të drejtat që rrjedhin nga zotërimi i këtyre kuotave duke ndaluar tjetërsimin ose disponimin e tyre si dhe ushtrimin e të drejtave që rrjedhin nga këto kuota.

II. Më datë 15.12.2014, me anë të urdhërit Nr. 11372 Prot., lëshuar nga Shoqëria Përmbaruese Private "E.P.S.A" sh.p.k, u urdhërua heqja e sekuestros mbi kuotat e debitorit "Malido-Energji" sh.p.k., e kërkuar me shkresën Nr. 10703 Prot., datë 04.11.2014.

III. Më datë 02.11.2015, me anë të urdhërit Nr.852 Prot, protokolluar nga QKR me Nr. 9852 Prot., datë 3.11.2015 "Për Vënien e Sekuestros Konservative”, lëshuar nga Zyra Përmbarimore "ALBIUS" drejtuar QKR, u urdhërua vendosja e masës së sekuestros konservative mbi kapitalin dhe aksionet e debitorit Gjovalin Pranga në 100% të kuotave në shoqërinë "MALIDO" Shpk dhe në 27% të kuotave në shoqërinë "MALIDO-ENERGJI" Shpk, në vlerën e detyrimit 4.114.520 (katër milionë e njëqind e katërmbëdhjetë mijë e pesëqind e njëzet) lekë.

IV. Më datë 30.03.2016, me anë të urdhërit Nr. 1032 Prot., lëshuar nga Përmbarues Gjyqësor Privat Z. Zef Macaj, u urdhërua heqja e masës së sekuestros konservative mbi 100% të aksioneve në shoqërinë “Malido- Energji” sh.p.k me Nuis (Nipt) K98824001D.

V. Më datë 25.10.2016, me anë të urdhërit Nr. 7926 Prot Nr. 455 Dosje, protokolluar nga QKB me Nr. 8810 Prot., datë 25.10.2016, lëshuar nga shoqëria përmbarimore “EPSA” shpk, u urdhërua bllokimi i kuotave dhe të drejtave që rrjedhin nga zotërimi i kuotave për debitorin MARILDO –ENERGJI shpk deri në një urdhër të dytë.

VI. Më datë 22.09.2017, me anë të urdhërit Nr. 196/10 0104-17 Prot, protokolluar në QKB me Nr. 13706 Prot datë 25.09.2017, lëshuar nga shoqëria përmbarimore “BESA” shpk, u urdhërua vendosja e masës së sekuestros konservative në aksionet, kuotat e debitorit Malida Energji sh.p.k si dhe mbi të drejtat që rrjedhin nga zotërimi i këyre kuotave duke 12 ndaluar tjetërsimin dhe/ose disponimin e tyre si dhe mos kryerjen e asnjë veprimi tjetër i cili mund të ndryshojë të dhënat e regjistrit tregtar. Dokumentacioni do të qëndrojë i bllokuar deri në një urdhër të dytë. U vendos masa e sekuestros konservative në të tjera aksione/kuota të cilat zotërohen nga pala debitore Malido Energji sh.p.k në shoqëritë e tjera të regjistruara pranë regjistrit tregtar.

VII. Më datë 21.02.2018, me anë të urdhërit Nr. 209/40104-17 Prot., lëshuar nga shoqëria përmbarimore “BESA” sh.p.k, u urdhërua heqja e masës së sekuestros konservative në aksionet, kuotat e debitorit MALIDO - ENERGJI shpk, si dhe mbi të drejtat që rrjedhin nga zotërimi i këtyre aksioneve/kuotave.

VIII. Më datë 11.10.2018, me anë të urdhërit Nr. 5469 Prot Nr. 455 Dosje, lëshuar nga shoqëria përmbarimore “EPSA” shpk, u urdhërua ç’bllokimi i kuotave/aksioneve dhe të drejtave që rrjedhin nga zotërimi i kuotave për debitorin “MALIDO-ENERGJI” shpk, të kërkuar nëpërmjet shkresës Nr. 7926 Prot., datë 25.10.2016.

IX. Me date 19.08.2019, me ane te Urdhrit Nr.3747 Prot, Nr.455 Dosje, lëshuar nga Shoqëria Përmbarimore" E.P.S.A'' SHPK, u urdherua bllokimi i kuotave/aksioneve dhe e te drejtave qe rrjedhin nga zoterimi i kuotave per debitorët shoqeria “MALIDO - ENERGJI” SHPK me Nuis / NIPT K98824001D me përfaqësues Fuat Hajdari.

X.Me date 04.10.2022, eshte depozituar Urdhëri Nr. 2671 Prot., protokolluar nga QKB me Nr.26455 Prot., datë 07.10.2022, lëshuar nga Zyra e Përmbarimit Privat “E.P.S.A” sh.p.k., ku është urdhëruar: Heqjen e masës së sekuestros konservative, mbi kuotat/aksionet e zotëruara nga pala debitore subjekti shoqëria “MALIDO - ENERGJI” sh.p.k., me NUIS (Nipt)– K98824001D, të kërkuar nëpërmjet shkresës me Nr.3747Prot., datë 19.08.2019.

XI. Me date 06.05.2022 , eshte depozituar vendimi per tiu drejtuar gjykates per perjashtimin e ortakut Malido shpk.
Ndryshime
Data e Nënshkrimit: 28.01.2009
Kohëzgjatja(vjet): 35
Lloji i Kontratës: Kontratë për punë publike
Fusha e Veprimtarisë: Energji dhe gaz
Vlera e Investimit(Lekë): 96.422.100 lekë
Vlera e Riinvestimit: Çdo 15 vjet koncesionari do të riinvestojë 75% të vlerës së investimit për makineritë dhe pajisjet. Kjo vlerë do të aktualizohet sipas indeksit të inflacionit.
Kosto Konçesionare: Konçesionari do t'i paguajë Autoritetit Kontraktues 2% të prodhimit vjetor të energjisë elektrike apo të çdo lloj përfitimi që mund të ketë.
Shënime: Shoqëria “MALIDO - ENERGJI” shpk është një shoqëri konçesionare e krijuar nga bashkimi i përkohshëm i shoqërive “Malido” shpk, “I-AS” shpk dhe A-90 (Ish Mirdita Konstruksion) shpk për zbatimin e kontratës konçesionare me Ministrinë e Ekonomisë, Tregtisë dhe Energjetikës, të nënshkruar më datë 28.01.2009, me objekt: Financimin, projektimin, ndërtimin, vënien në punë, administrimin, mirëmbajten e hidrocentralit “KLOS” dhe transferimin e tyre në përfundim të kontratës nga konçesionari tek Autoriteti Kontraktues, konform kushteve dhe afateve të kësaj kontrate.
Hidrocentrali “KLOS” do të ndërtohet në rrjedhëne lumit të Fanit, në rrethin e Mirditës, me këto karakteristika: Fuqia e instaluar 1519 kW dhe prodhimi vjetor i energjisë elektrike 5.130.000 kWh.
Autoriteti Kontraktues: Ministria e Ekonomisë, Tregtisë dhe Energjitikës
Adresa:

Seli/Zyra Qendrore:
Tirane, “Rruga “Bilal Sina”, Ndertesa nr. 2, kati 1,Selite, Tirane. (Njesia, nr. 153/110-N2, ndodhur ne ZK. 3292, vol.20, faqe 208, me adrese ne Farke (Selite)

Adresa:
Lezhe, Fan, Hidrocentrali Klos, pranë Njësisë Administrative Fan, Rrëshen, Lezhë.

Akte/Marrëveshje Koncesionare: Kontrate koncesioni (28.01.2009)
Ekstrakt historik i regjistrit tregtar 09.05.2022
Akt-marreveshje per shitblerje kuotash 28.01.2019
Urdher heqje sekustro konservative 30.03.2016
Urdher per vendosjen e sekuestros konservative 25.10.2016
Urdher per heqjen e sekuestros 11.10.2018
Vendim I asamblese se ortakeve per rritjen e kapitalit 08.12.2014
Urdher per vendosjen e sekuestros konservative 22.09.2017
Vendim I asamblese per rritjen e kapitalit 25.11.2013
Preventiv per ndertimin e hidrocentralit Klos
Te dhenat e subjektit MALIDO - ENERGJI ne regjistrin e pronareve perfitues 25.04.2024
Ekstrakti Historik i Regjistrit Tregtar date 23.08.2023
Urdher per heqjen e sekuestros konservative date 04.10.2022
Vendim date 06.05.2022
Ekstrakti Historik i Regjistrit Tregtar date 25.04.2024
Dokumenta Financiare: Akti i Themelimit
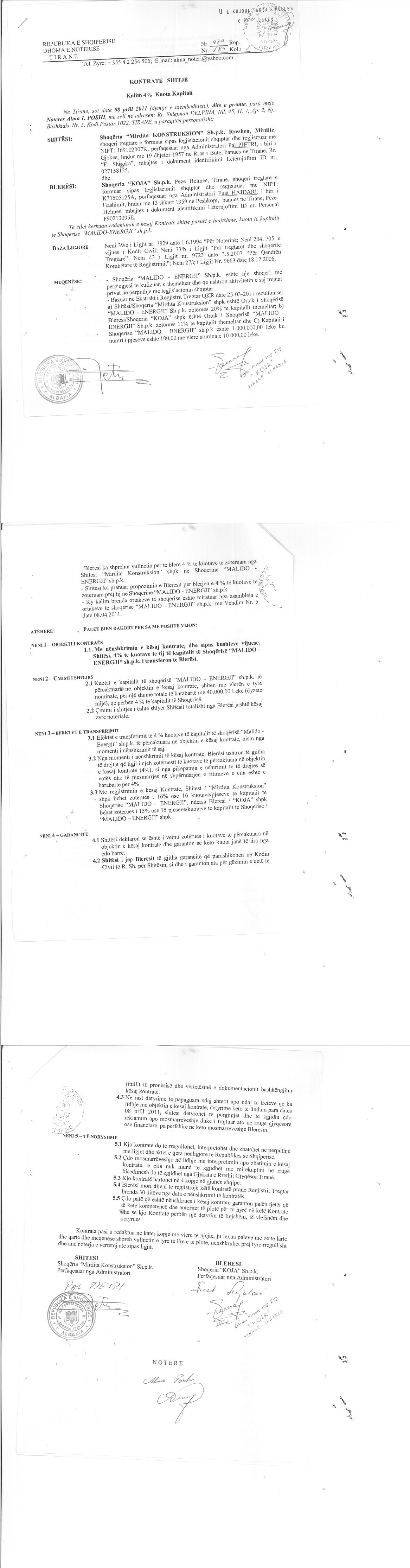
Transferim kuotash (04.03.2009)
Transferim kuotash (03.09.2010)
Transferim kuotash (21.12.2010)
Transferim kuotash (08.04.2011)
Transferim kuotash (15.01.2014)
Transferim kuotash (15.06.2015)
Bilanci 2010
Bilanci 2011
Bilanci 2012
Bilanci 2013
Pasqyra e te ardhurave dhe shpenzimeve 2015
Bilanci 2016
Pasqyrat financiare 2017
Pasqyra e te ardhurave dhe shpenzimeve 2018
Pasqyra e te ardhurave dhe shpenzimeve 2019
Shenimet shpjeguese te PF 2019
Pasqyrat Financiare viti 2020
Pasqyra e Te ardhurave dhe Shpenzimeve 2021
Pasqyra e Te ardhurave dhe Shpenzimeve 2022
Pasqyra e Te ardhurave dhe Shpenzimeve 2023
Njoftime Prokurime Publike:
Informacione Financiare
Fitimi para Tatimit(Lekë) 2023: 14 946 213,00
Fitimi para Tatimit(Lekë) 2022: 2 647 935,00
Fitimi para Tatimit(Lekë) 2021: 1 503 543,00
Fitimi para Tatimit(Lekë) 2020: 1 464 846,00
Fitimi para Tatimit(Lekë) 2019: 866 291,00
Fitimi para Tatimit(Lekë) 2018: 6 541 857,00
Fitimi para Tatimit(Lekë) 2017: 354 132,00
Fitimi para Tatimit(Lekë) 2016: -6 357 705,00
Fitimi para Tatimit(Lekë) 2015: -2 075 809,00
Fitimi para Tatimit(Lekë) 2014: 1 130 529,00
Fitimi para Tatimit(Lekë) 2013: 15 836 496,00
Fitimi para Tatimit(Lekë) 2012: 1 839 488,00
Xhiro Vjetore(Lekë) 2023:39 597 699,00
Xhiro Vjetore(Lekë) 2022:18 722 570,00
Xhiro Vjetore(Lekë) 2021:24 276 102,00
Xhiro Vjetore(Lekë) 2020:21 154 406,00
Xhiro Vjetore(Lekë) 2019:16 532 323,00
Xhiro Vjetore(Lekë) 2018:33 142 385,00
Xhiro Vjetore(Lekë) 2017:15 914 938,00
Xhiro Vjetore(Lekë) 2016:21 679 300,00
Xhiro Vjetore(Lekë) 2015:22 280 045,00
Xhiro Vjetore(Lekë) 2014: 29 577 255,00
Xhiro Vjetore(Lekë) 2013: 43 419 390,00
Xhiro Vjetore(Lekë) 2012: 20 782 927,00
Xhiro Vjetore(Lekë) 2011: 10 366 643,00

Raporti Fitim para Tatimit kundrejt Xhiro Vjetore(në përqindje) ndër vite:

2014
2015
2016
2017
2018
2019
2020
2021
2022
2023

Koncesionare të tjera


GUR SHPAT ENERGY
Tiranë
HENZ ENERGY
Tiranë
M.T.C. ENERGY
Tiranë
HydroEnergy
Tiranë
Punuar Nga : A.Lala/L.Kanani