Skip to content

" SIDI EDUCATION " ( perthithur nga "Sidi Group")
Informacioni është i përditësuar sipas të dhënave të QKB/Rregjistër Biznesi deri në datën: 2023-04-25 13:36:29
JSON

NIPT: L81919012F
Administrator: Arjan Veliu
Objekti i Veprimtarisë: Import-eksport me pakice dhe shumice te librave ne gjuhe te huaj.Arsim privat plotesues dhe jo-plotesues.Organizim te provimeve te gjuhes angleze ne kuadrin e arsimit joplotesues.Organizim te trajnimeve dhe te kulifikimeve ne fusha te ndryshme profesionale.Te tjera.Perkthime"
Emërtime të tjera Tregtare: " SIDI EDUCATION "
Forma ligjore: Shoqëri me Përgjegjësi të Kufizuar SH.P.K
Viti i Themelimit: 18/07/2018
Rrethi: Durres
Shteti ku vepron: Shqipëri
Origjina e Kapitalit: Shqipëri
Kapitali Themeltar(Lekë): 10 000,00
Numri i pjesëve: 1
Lloji i pronësisë: Private
Nr. i administratorëve: 1
Femër/Mashkull: Mashkull
Statusi: Ç’regjistruar pa likuidim (me perthithje)
Leje/Licensa: X.2.B - Formim profesional
Çështje Ligjore: I. Projekt Bashkimi me Perthithje
Me date 29/04/2022, depozitimi Projekt Marreveshjes per bashkim date 13.04.2022 ndermjet shoqerive Sidi Group (shoqeria perthithese) dhe Sidi Education (shoqeria e perthithur) si dhe dokumentacioni shoqerues bashke me pasqyrat financiare te tre viteve te fundit.

II. Miratimi i Bashkimit me Perthithje
Me date 30/12/2022, Depozitimi i akteve: 1.Marrëveshja për bashkimin me përthithje datë 22.12.2022, ndërmjet shoqërisë “Sidi Group” (përthithëse) dhe “Sidi Education” (e përthithura). 2. Vendimi datë 22.12.2022 i shoqërisë “Sidi Group” dhe vendimi datë 22.12.2022 i shoqërisë “Sidi Education” për miratimin e marrëveshjes së bashkimit me përthithje.
Ndryshime
Adresa:

Seli/Zyra Qendrore:
Durres, Lagjja 3, Rruga Egnatia,Zona Kadastrale 8514, Nr. Pasurie 4/280+1-10, Hyrja 1, Ap. 10, Kati +1, (prane Studio Buzani)

Akte. Tjetërsim Kapitali: Ekstrakti Historik i Regjistrit Tregtar date 25.04.2023
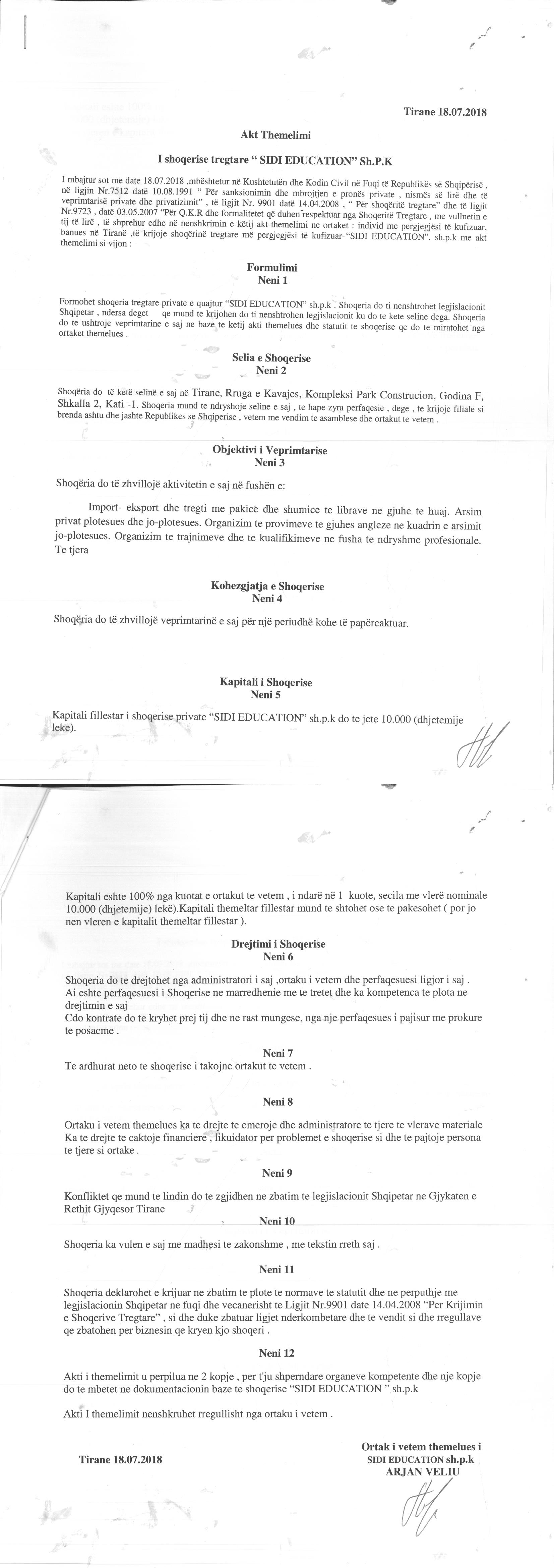
Akt themelimi i Shoqerise
Kontrate Shitblerje Kuotash date 22.11.2021
Projekt Marreveshje per Bashkimin me Perthithje date 13.04.2022
Marreveshja per Bashkimin me Perthithje date 22.12.2022
Dokumenta Financiare: Pasqyra e te ardhurave dhe shpenzimeve 2018
Pasqyra e te ardhurave dhe shpenzimeve 2019
Pasqyra e te ardhurave dhe shpenzimeve 2020
Pasqyra e te ardhurave dhe shpenzimeve 2021
Informacione Financiare
Transaksione Thesari 2019- Në vijmësi
Transaksione Thesari 2015-2018
Fitimi para Tatimit(Lekë) 2021: 58 797 297,00
Fitimi para Tatimit(Lekë) 2020: 47 920 788,00
Fitimi para Tatimit(Lekë) 2019: 50 822 871,00
Fitimi para Tatimit(Lekë) 2018: 42 472 271,00
Xhiro Vjetore(Lekë) 2021:271 558 650,00
Xhiro Vjetore(Lekë) 2020:223 046 842,00
Xhiro Vjetore(Lekë) 2019:312 725 861,00
Xhiro Vjetore(Lekë) 2018:228 534 361,00
Punuar Nga : A.Baja