Skip to content

ZENITH TRAVEL
Informacioni është i përditësuar sipas të dhënave të QKB/Rregjistër Biznesi deri në datën: 2026-01-17 14:00:52
JSON

NIPT: L12212026G
Administrator: Bledar Sula
Objekti i Veprimtarisë: Transport udhetaresh brenda dhe jashte vendit per vete dhe te trete.Agjenci turistike.Agjenci udhetimesh. Import-eksport, tregti te artikujve te ndryshem. Operator turistik.
Emërtime të tjera Tregtare: ZENITH TRAVEL SHPK
Forma ligjore: Shoqëri me Përgjegjësi të Kufizuar SH.P.K
Viti i Themelimit: 12/10/2011
Rrethi: Tiranë
Shteti ku vepron: Shqipëri
Origjina e Kapitalit: Shqipëri
Kapitali Themeltar(Lekë): 800 000,00
Numri i pjesëve: 800
Lloji i pronësisë: Private
Nr. i administratorëve: 1
Femër/Mashkull: Mashkull
Mjete të ushtrimit të aktivitetit: Tirane, AA 042 SH
Tirane, AA 983 SJ
Tirane, Autobus tip Irisbus me targe: AA 023 TI
Tirane, Autobus tip Daf me targe : AA 145 2 MA
Tirane, AA 863 NI
Tirane; Mjeti me targe AB 616 FX dhe nr. shasie:YS2K6X20001873250 marka SCANIA modeli IRIZAR.;
Tirane; AB140JR;
Tirane; AB587NZ, AB583NZ,AA309VG;
Tirane; AB 833 VK;
Tirane; AA 489 PI
Tirane; AA 789 PN
Tirane; AB 773 JK
Statusi: Aktiv
Leje/Licensa: VIII.6 - Operator turistik
VIII.5 - Agjenci udhëtimi
VII.1 - Transport rrugor ndërkombëtar i udhëtarëve
Ndryshime
Adresa:

Seli/Zyra Qendrore:
Tirane, Rruga e Durresit, Pallati 220, Shkalla 3, Kati 1, Apartamenti 17

Akte. Tjetërsim Kapitali: Ekstrakt historik i regjistrit tregtar date 02.02.2022
Vendim i asamblese se ortakut per zmadhimin e kapitalit date 07.12.2018
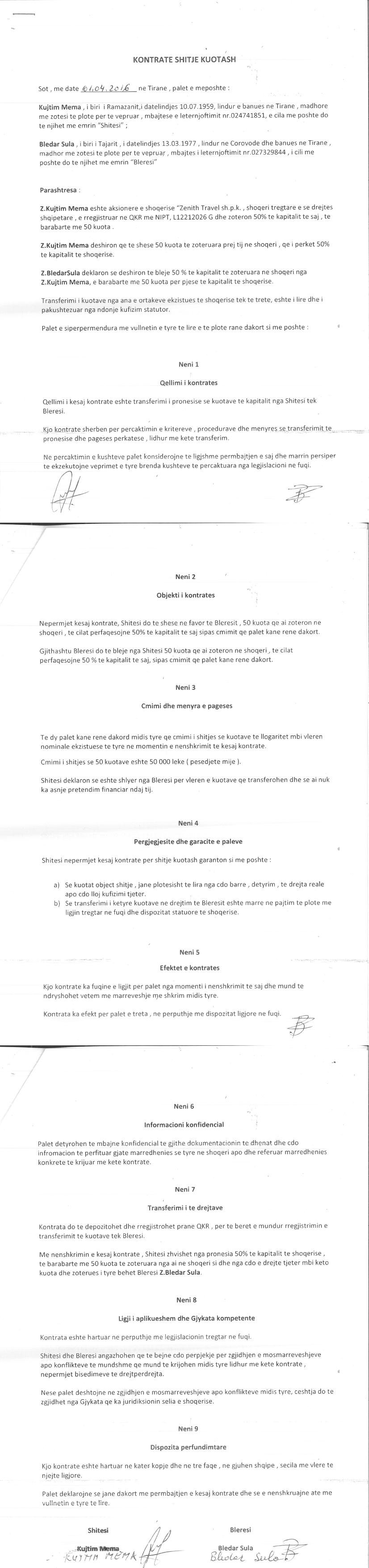
Kontrate shitje kuotash date 01.04.2016
Ekstrakt Historik i Regjistrit Tregtar date 16.01.2026
Dokumenta Financiare: Pasqyra e te ardhurave dhe shpenzimeve 2017
Pasqyra e te ardhurave dhe shpenzimeve 2018
Pasqyra e te ardhurave dhe shpenzimeve 2019
Pasqyra e te ardhurave dhe shpenzimeve 2020
Shenimet shpjeguese te PF 2020
Pasqyra e te ardhurave dhe shpenzimeve 2021
Pasqyra e te ardhurave dhe shpenzimeve 2022
Shenimet per PF 2023
Pasqyrat financiare 2024
Informacione Financiare
Transaksione Thesari 2019- Në vijmësi
Transaksione Thesari 2015-2018
Transaksione Thesari 2014
Transaksione Thesari 2012-2013
Fitimi para Tatimit(Lekë) 2024: 7 471 894,00
Fitimi para Tatimit(Lekë) 2023: 7 337 604,00
Fitimi para Tatimit(Lekë) 2022: 8 909 813,00
Fitimi para Tatimit(Lekë) 2021: 4 338 799,00
Fitimi para Tatimit(Lekë) 2020: 1 394 930,00
Fitimi para Tatimit(Lekë) 2019: 5 217 590,00
Fitimi para Tatimit(Lekë) 2018: 1 813 997,00
Fitimi para Tatimit(Lekë) 2017: 2 193 649,00
Fitimi para Tatimit(Lekë) 2016: -1 153 584,00
Xhiro Vjetore(Lekë) 2024:145 076 801,00
Xhiro Vjetore(Lekë) 2023:120 480 302,00
Xhiro Vjetore(Lekë) 2022:90 924 356,00
Xhiro Vjetore(Lekë) 2021:70 088 263,00
Xhiro Vjetore(Lekë) 2020:36 207 394,00
Xhiro Vjetore(Lekë) 2019:176 107 083,00
Xhiro Vjetore(Lekë) 2018:72 006 951,00
Xhiro Vjetore(Lekë) 2017:39 418 853,00
Xhiro Vjetore(Lekë) 2016:12 251 205,00

Raporti Fitim para Tatimit kundrejt Xhiro Vjetore(në përqindje) ndër vite:

2016
2017
2018
2019
2020
2021
2022
2023
2024

Punuar Nga : A.Lala/L.H.